
聯系我們
- 郵編:430074
- 地址:武漢市洪山區民族大道182號
- 技術支持:新思路團隊
- 聯系電話:027-67841900
題目: Remainder terms and stability for a class of nonlocal Sobolev inequality
(翻譯:一類非局部Sobolev不等式的穩定性及其余項估計)
報告專家:楊敏波教授,浙江師范大學數學科學學院教授
時間:2023年11月25日(周六)14:00 - 15:00
地點:9-122會議室
報告摘要:

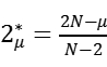
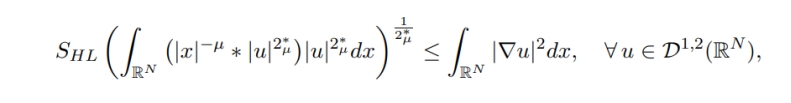
摘要翻譯:在本報告中,我將介紹下列非局部Sobolev不等式
的穩定性及其余項估計,其中 * 表示卷積,
,正常數
僅依賴于
,
0,N)且滿足
(0,4].
專家簡介:楊敏波教授,浙江師范大學數學科學學院院長,主要從事非線性分析和橢圓型方程的研究工作,在Calc. Var. Partial Differential Equations、Mathematische Zeitschrift、Commun. Anal. Geom.、J. Differential Equations、Nonlinearity等國際知名刊物發表論文80余篇,目前已主持國家自然科學基金面上項目、國際(地區)合作交流項目、省基金重點項目多項。
作者:郭倫;編輯:劉鹍;審核:郭暉;上傳:郭敏。